
LES POLYNÉSIENS ENGAGÉS A LA RÉUNION : UNE PAGE MÉCONNUE DE L’HISTOIRE COLONIALE
Après l'abolition de l'esclavage à La Réunion en 1848, les plantations sucrières de l'île ont été confrontées à une grave pénurie de main-d'œuvre. Pour pallier ce manque, les autorités coloniales ont mis en place un système d'engagisme : des travailleurs sous contrat, appelés « engagés », étaient recrutés à Madagascar, en Inde, en Afrique, mais également dans des régions plus lointaines comme les îles Polynésiennes.
L'arrivée des Polynésiens
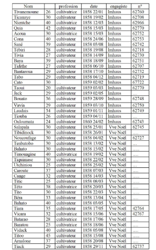
Selon les recherches historiques, notamment celles de Gilles Gérard, des Polynésiens ont été capturés sur des îlots sablonneux dans des archipels du Sud de l'océan Pacifique et transportés vers La Réunion à bord de navires comme le Sutton en 1857. Bien qu'ils aient été qualifiés de volontaires, leur embarquement était souvent contraint et les promesses faites sur les conditions de vie et de travail n'étaient guère respectées.
Dans les archives réunionnaises et les correspondances officielles de l'époque, ces travailleurs venus du Pacifique étaient désignés sous différentes appellations : Polynésiens, Calédoniens, Australiens ou encore Océaniens. Ces termes, employés de manière interchangeable, traduisent une méconnaissance géographique et culturelle des populations concernées. Aujourd'hui encore, par commodité et en raison d'un regard davantage tourné vers l'espace indo-océanique que vers le monde océanien, on utilise le terme de Polynésiens. S'il n'est pas toujours exact sur le plan géographique, il reste le seul ancré dans la mémoire réunionnaise pour évoquer cette origine de peuplement oubliée.
Conditions de vie et travail
Les Polynésiens engagés étaient soumis à des conditions extrêmement difficiles, proches de celles qu'avaient connues les esclaves avant 1848. Les journées de travail dans les plantations sucrières étaient longues et éreintantes. Les maladies se propageaient rapidement dans les logements insalubres, et beaucoup périrent peu après leur arrivée sur l'île. Les survivants étaient isolés, loin de leurs terres et de leur culture, et peinaient à maintenir leurs traditions dans un environnement hostile.
Une histoire méconnue
L'histoire des Polynésiens à La Réunion reste largement ignorée, éclipsée par celle des engagés indiens ou malgaches. Pourtant, elle constitue une page sombre mais essentielle de l'histoire coloniale de l'île, révélant les pratiques coercitives qui ont perduré après l'abolition de l'esclavage.
Mémoire et recherches
Aujourd'hui, des historiens comme Gilles Gérard travaillent à documenter ces expériences pour les rendre visibles. Des conférences et publications permettent de mieux comprendre le sort des Polynésiens à La Réunion et d'inscrire leur mémoire dans l'histoire collective de l'île.




